PsiDisUniform ({x1,x2,…,xn},…)

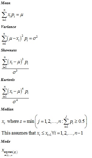
PsiDisUniform ({x1,x2,…,xn},…) is a custom discrete distribution that takes on values {x1,x2,…,xn} with equal probability.  It is similar to the PsiDiscrete distribution except that no probabilities are specified – instead all x values are equally likely to occur.  (In the equations below, each pi = 1/n.)  PsiDisUniform can be used to resample a set of past observations {x1,x2,…,xn}.

PsiDisUniform Distribution Parameters

PsiDisUniform Distribution Parameters