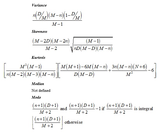
PsiHyperGeo (n,D,M,...)
PsiHyperGeo (n,D,M) is a discrete distribution of the number of successes in n successive trials drawn without replacement from a finite population of size M, when it is known that there are exactly D failures in the population. The Hypergeometric distribution can be used to model ‘good’ and defective parts in a manufacturing process.
A Hypergeometric distribution can be approximated by a Binomial distribution with parameters n, p = D/M, when M is very large as compared to n.


