PsiUniform (a,b,...)
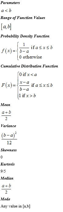
PsiUniform (a,b) is a flat, bounded distribution with lower bound a and upper bound b. It is used to represent a random variable that is equally likely to take on any value between a lower and upper bound. A Uniform (0,1) distribution is also known as a Standard Uniform distribution, and is used to generate many other random variables. If X is a random variable with a Standard Uniform distribution, then a + (b – a)X has a Uniform (a,b) distribution, and (1 – X) has a Standard Uniform distribution.
Alternate Formulation: PsiUniformAlt
The alternative parameters are combinations of the native arguments (lower and upper) plus percentiles, i.e. =PsiUniformAlt(lower, percentile1), PsiUniformAlt(percentile1, upper) or PsiUniformAlt(percentile1, percentile2).

