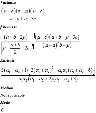
PsiBetaSubj (a,c,μ,b,...)
PsiBetaSubj is a flexible distribution like PsiBetaGen, but with parameters you choose for the minimum (a), most likely (c), mean (µ) and maximum (b) values. These parameters are used to compute the shape parameters α1,α2 used in the PsiBeta function.
Parameters


